Publications
A novel comparative research platform designed to determine the functional significance of tree species diversity in European forests
Baeten et al. (2013) Perspectives in Plant Ecology, Evolution and Systematics
Going beyond taxonomic diversity: deconstructing biodiversity patterns reveals the true cost of iceplant invasion
Jucker et al. (2013) Diversity and Distributions
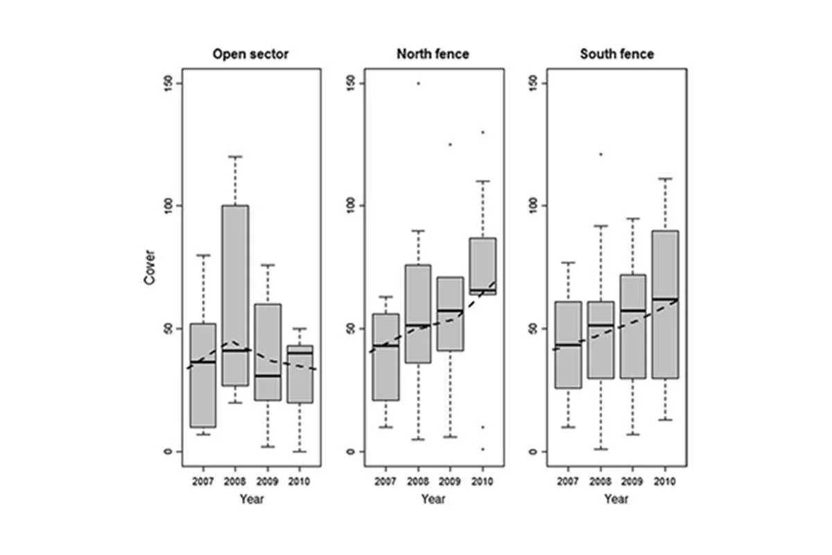
Passive recovery of Mediterranean coastal dunes following limitations to human trampling
Acosta et al. (2013) Restoration of Coastal Dunes
Get in touch
If you can’t find what you’re after we’re be happy to help